Cosmology with SNe Ia: measuring growth-rate of structures with the new generation of survey


Bastien Carreres

Cosmology with SNe Ia in a nutshell

Type Ia supernovae are exploding white dwarfs!

Type Ia supernovae are standard candles!


Cosmology with SNe Ia in a nutshell

Cosmology with SNe Ia in a nutshell

Distance modulus: $$ \mu = 5 \mathrm{log}\left(d_L / 10\ \text{pc}\right) = m - M$$


SNe Ia luminosity is corrected for known correlations!

  • Brighter-slower: higher stretch $x_1 \Rightarrow $ brighter SNIa
  • Brighter-bluer: lower color $c \Rightarrow $ brighter SNIa
  • Mass step: SN Ia in more massive galaxies are brighter


$\mu_\text{obs} = m_B - (M_B$ $- \alpha x_1$ $+ \beta c$ $+ \Delta_M$ $)$


Remaining intrinsic scatter $\sigma_\mu \sim 0.12$ mag

Cosmology with SNe Ia in a nutshell

\(f\sigma_8\) as a probe for general relativity

Cosmological principle:
Universe is homogeneous

Observations:
Universe is not exactly homogeneous


Matter density fluctuations:
$\delta(\mathbf{x}) = \frac{\rho(\mathbf{x})}{\bar{\rho}} - 1$


$\sigma_8$ : fluctuation over sphere of
8 Mpc.$h^{-1}$ radius

$\delta(\mathbf{x}) = \sigma_8 \tilde{\delta}(\mathbf{x})$


Fluctuations evolve over time
$\delta(\mathbf{x}, t) = \delta(\mathbf{x})D(t)$

Evolution of structures:
Dark energy vs Gravity

$$f = \frac{\text{d}\ln D}{\text{d}\ln a}$$

$f \simeq \Omega_m^\gamma$

General Relativity + $\Lambda$CDM: $\gamma \simeq 0.55$

$\gamma \equiv$ Growth index

$f$ measurement is generally degenerate with $\sigma_8$ !
$\Rightarrow f\sigma_8$

Image credits: Illustris TNG

How to measure $f\sigma_8$ ?

Velocities are probes of $f\sigma_8$!

Velocity statistics directly depend on $f\sigma_8$:
$\langle v(\mathbf{x_i})v(\mathbf{x_j})\rangle \propto \left(f\sigma_8\right)^2$

Image credits: Illustris TNG

Estimating velocities from SNe Ia

Observed redshifts:

$1 + z_\mathrm{obs} = (1 + z_\mathrm{cos}) (1 + z_\mathrm{p})$ with $z_p\simeq v_p / c$

Hubble residuals:

$\Delta\mu = \mu_\mathrm{obs} - \mu_\text{th}(z_\mathrm{obs}) = 0$ $\Delta\mu = \mu_\mathrm{obs} - \mu_\text{th}(z_\mathrm{obs}) \simeq-\frac{5}{c\ln10}\left(\frac{(1 + z)c}{H(z)r(z)} - 1\right)v_p$

$v_p \simeq -\frac{c\ln10}{5}\left(\frac{(1 + z)c}{H(z)r(z)} - 1\right)^{-1}\Delta\mu$ $\sigma_{v_p} \simeq -\frac{c\ln10}{5}\left(\frac{(1 + z)c}{H(z)r(z)} - 1\right)^{-1}\sigma_{\Delta\mu}$

Constraint on $f\sigma_8$ with the maximum likelihood mehod

The Maximum likelihood method is implemented within the package (Ravoux, Carreres et al. 2025)

We want to maximize the likelihood function: $$\mathcal{L}(f\sigma_8; v_p) \propto \left(2\pi\right)^{-\frac{N}{2}}\left|\text{C}(f\sigma_8)\right|^{-\frac{1}{2}}\exp\left(-\frac{1}{2}\boldsymbol{v_p}^T\text{C}(f\sigma_8)^{-1}\boldsymbol{v_p}\right)$$

$\text{C}(f\sigma_8) =\text{C}^\mathrm{obs} + \text{C}^{vv}(f\sigma_8)$

The maximum likelihood mehod: velocity covariance

The covariance of the velocity field is: $$\langle v_i(\mathbf{r}_i) v_j(\mathbf{r}_j)\rangle = \text{C}_{ij}^{vv}\propto ({\color{red}f\sigma_8})^2 \int_{k_\mathrm{min}}^{k_\mathrm{max}} P(k) W_{ij}(k; \mathbf{r}_i, \mathbf{r}_j) {\rm d}k $$

Forecast results

What about systematics?

The intrinsic scatter of SNe Ia

The intrinsic scatter of SNe Ia

Main systematic of DES 5-year dark energy analysis
(Vincenzi et al. 2023)!!!

What about $f\sigma_8$ ???

The intrinsic scatter of SNe Ia


  • Random coherent scatter (COH)
    Achromatic
    Unrealistic
  • The G10 model (Guy et al. 2010):
    $\sim 70\%$ achromatic / $\sim 30\%$ chromatic
    Historically used (Pantheon, Pantheon+)
  • The C11 model (Chotard et al. 2011):
    $\sim 30\%$ achromatic / $\sim 70\%$ chromatic
    Historically used (Pantheon, Pantheon+)
  • The BS21 model (Brout & Scolnic 2021)
    Currently favored by data (DES 5-year)

Simulation: LSST SN Ia sample

LSST simulated observation (OpSim)

Velocity field from the Uchuu UniverseMachine simulation (Ishiyama et al. 2021, Aung et al. 2022)

Realistics simulation of the LSST SN Ia sample up to $z\sim0.1$
After quality cut $N\sim 7000$

The intrinsic scatter of SNe Ia: results

  • True vel. fit:
    Unbiased $f\sigma_8$
    $\sigma_{f\sigma_8}\sim 5\%$
  • COH, G10 and C11:
    Unbiased $f\sigma_8$
    $\sigma_{f\sigma_8}\sim 13-14\%$
  • BS21: $\sigma_{f\sigma_8}\sim11\%$
    $f\sigma_8$ is biased by $>20\%$ !!!

The intrinsic scatter of SNe Ia: the DEBASS survey

The DEBASS survey looking at low-z SNe Ia with DECam with high precision - $\sigma_\mu \sim 0.1$
$\Rightarrow$ Ideal to study intrinsic scatter model

Cosmological analysis coming later this year:
Data Release & Local Cosmology (Sherman et al. in prep),
SN Ia Dark Energy (Acevedo et al. in prep),
Cross-probe cosmology (Brout et al. in prep),
$f\sigma_8$ (Carreres et al. in prep)

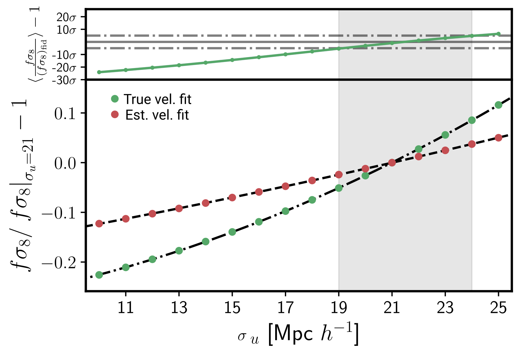
Another systematic: redshift space distorsion of the PV power spectrum




Positions are evaluated using $z_\mathrm{obs} \ \Rightarrow$ Redshift Space Distorsion

Empirical damping introduced in Koda et al. 2014: $D_u = \text{sinc}(k\sigma_u)$

$$\text{C}_{ij}^{vv}\propto (f\sigma_8)^2 \int_{k_\mathrm{min}}^{k_\mathrm{max}} P(k){\color{red} D_u(k, \sigma_u)}^2 W_{ij}(k; \mathbf{r}_i, \mathbf{r}_j) {\rm d}k$$

Calibrated from a fit of true vel. from randomly sampled galaxies of the Uchuu simulation we found
$\sigma_u \simeq 21 \text{ Mpc }h^{-1}$

Correlated with $f\sigma_8$ and estimated as a $\sim$6% systematic

Conclusion


  • Measurements of $f\sigma_8$ provide a powerful test of $\Lambda$CDM and General Relativity
  • Next-generation SNe Ia surveys have the potential to deliver independent constraints on $f\sigma_8$
  • Systematics must be better understood: SNe Ia astrophysics, PV modeling, ...
  • Several low-$z$ survey results expected in the coming years: DEBASS, ZTF, ATLAS, Rubin-LSST

Thanks for your attention!